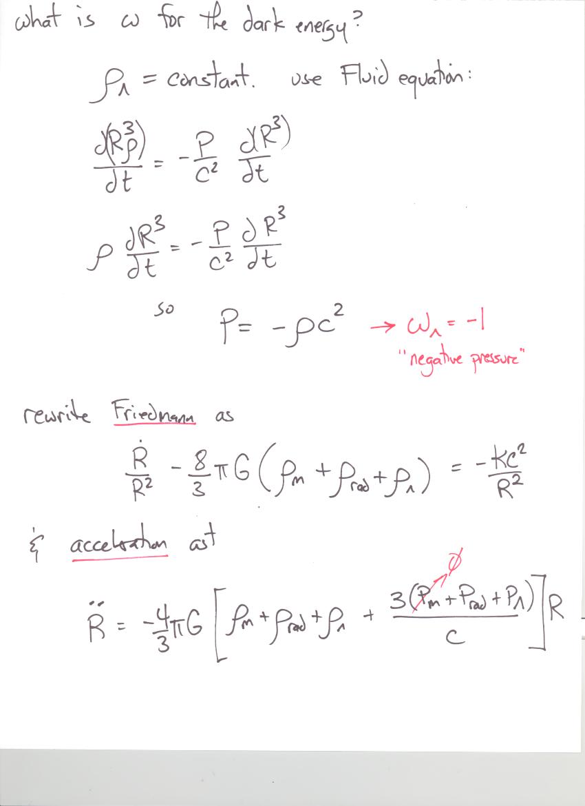
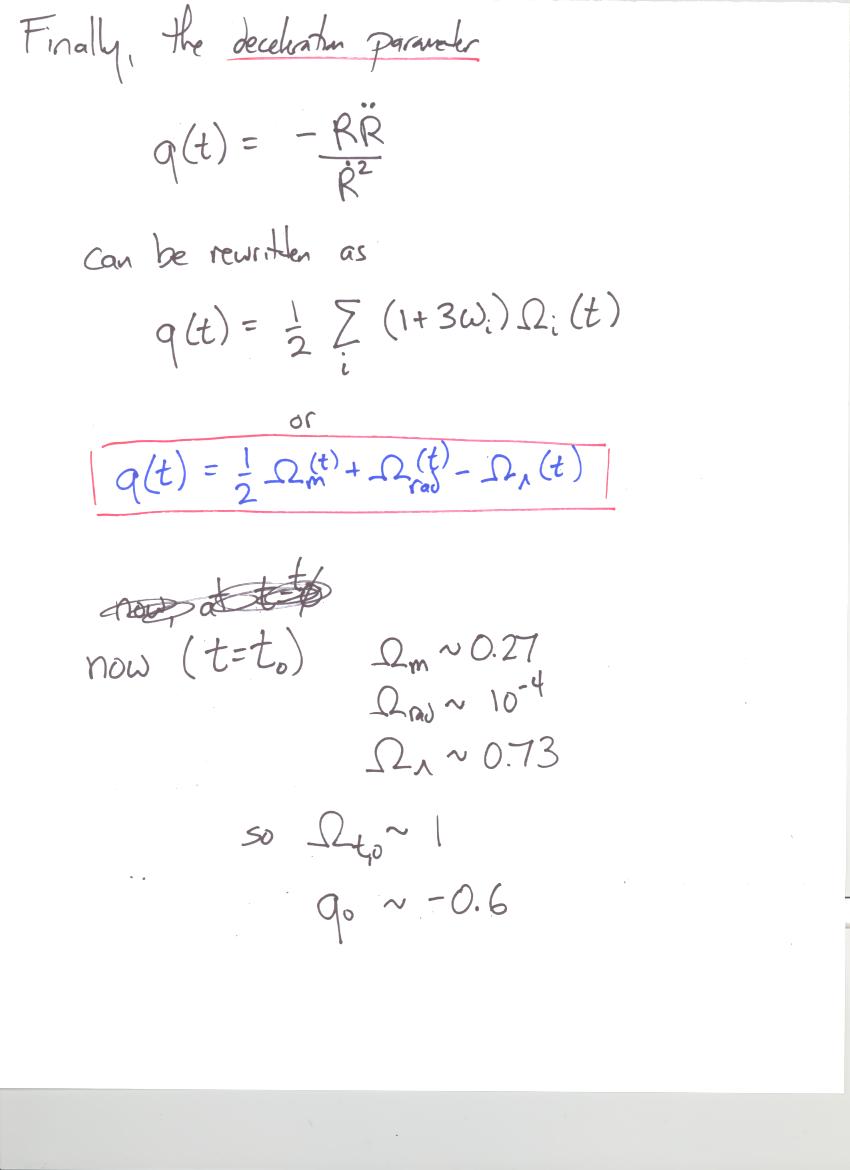
Adding Pressure: The Fluid and Acceleration Equations